EFFECTS OF LOW OXYGEN ATMOSPHERES ON RIPENING IN DURIAN

SCIENTIFIC NAME: Durio zibethinus
FAMILY: Bombacaceae

INTRODUCTION
The durian is a highly esteemed fruit in Southeast Asian countries including Thailand. Regional trade in this fruit has been significant. In Thailand, fresh durian ranked second among all fresh fruits exported. In recent years, the durian has gone from relative curiosity into a horticultural crop of importance and interest beyond the regional markets. Major problems which hinder shipping and marketing of durian are the extremely short shelf-life of the fruit and the sulfery odour once ripe, which is often objectionable (4). Many airliners either reject the shipment of ripe fruit or regulate the shipment of unripe fruit only.

Low temperature is the most effective means in prevention or delay of fruit ripening. However, most tropical fruits including durian are chilling-susceptible. Our preliminary observation indicated that chilling injury occurred to the rind as well as the unripened aril when durian fruit was held at 12 °C for one week. The use of controlled atmosphere to delay ripening of fruit presents the alternative.

The effects of low oxygen and/or elevated CO2 on the physiology of fruit and vegetables have been extensively researched and demonstrated (1,2,6). Tropical fruits such as banana, mango, avocado, and papaya have been reported to respond to CA to a varying degree (3,5). The present investigation examines the separate effect of low oxygen atmospheres on ripening in durian.

MATERIALS AND METHODS
"Mon Tong" durians were harvested from trees grown in a commercial orchard in Rayong province, Thailand on 25 May, 1987. Fruit were at a commercial harvest stage or 85% maturity. Fruit harvested at this stage became eating ripe on day 5. For the experiment on ripe fruit, fruit maturity at harvest was 95% or 1 to 2 days between harvest to eating ripe. Fruit weight varied from 2.2 to 3.2 kg each. Fruit were transported and received in the Postharvest Technology Laboratory in the afternoon of the day of harvest. Fruit were kept at a 22 °C room and all treatments done to the fruit on the next day.

Measurement of respiration and ethylene production: Individual fruit were placed in an 18-1 PVC respiration chamber at 22 °C and continuously flushed with a flow of air or desired low O2 atmospheres at 2, 5, 7.5 and 10% at about 40 l/hr. Desired low O2 was achieved by metering a calculated flow of air into a nitrogen stream in a flow-through system into respiration chambers. O2 concentration at the inlet to the chamber was monitored and adjusted by metering valves and verified by gas chromatography daily. Gas samples for the determination of CO2evolution and ethylene production was taken daily by a 1-ml hypodermic syringe from the outflow of each chamber, which had been vented with specified gas mixture. A Shimadzu 9-A thermal conductivity gas chromatograph with a Porapack R column and a Shimadzu 9-A flame ionization gas chromatograph with an activated alumina column were used for CO2 and ethylene measurement respectively. Results were the average of two replicate fruit.

Sample method for gas in the fruit: Same fruit used in the respiration determination were used in order to correlate internal gas content to its respiration and ethylene production, and to avoid the variability existing between fruits. A gas sampling port was made previously on the equatorial region of each fruit. This was done by the removal of a rind 1.5 to 2-cm thick with a sterile 0.6-mm cork borer. The hole was immediately plugged with a short plastic tube of the same diameter sealed to the rind with synthetic rubber-cement. The outside of the plastic tube was tightly plugged with a septum. Gas sample was withdrawn through the septum by a 1-ml syringe. After the gas sample was taken, the fruit was returned immediately to the respiration chamber.

Graph of ethylene production of stored durian.

Gas sample was taken daily and analyzed by gas chromatography as mentioned previously for CO2 and ethylene. This procedure used was non-destructive to the fruit. The rind consists mainly of wood like materials, thus little physiological change to the fruit was expected. It also provided reliable and reproducible results with little variation. In a test of 4 sequential withdrawals of the gas sample through one port, CO2were measured at 0.8896, 0.9916, 0.8930 and 0.9245% and ethylene, 0.9419, 0.B699, 0.9686 and 0.8549 ppm.

At the end of 7 days, fruit held in air and 10% O2 were over-ripe. Ethylene-free air was introduced into fruit in the respiration chambers under other gas mixtures and vented continuously for 4 more days. All fruit were then opened and assessment made for ripening condition and eating quality.

Respiration and ethylene production of fruit of 95% maturity under air and 4% O2 was also monitored using a single representative fruit. Internal gas content was determined on the same fruit in order to correspond its respiration to ethylene production by the method mentioned above.

RESULTS AND DISCUSSION
The effects of low oxygen atmospheres on respiration and ethylene production in durian are illustrated in Fig.1. Fruit held in air exhibited a characteristic climacteric pattern in respiration and ethylene production. Initial CO2 production was 60 ml/kg/hr peaked to 145 ml/kg/hr. Ethylene production steadily increased and went parallel to CO2 evolution from less than 1 µl/kg/hr and peaked to 10 µl/kg/hr. In the fruit stored under 10% O2, there was a climacteric rise in respiration and ethylene production with a lower peak value and a flatter angle of the rise than that of the control. At 10% O2, peak CO2 evolution of the fruit was about halved (85 ml/kg/hr) with a much lower ethylene peak (3 µl/kg/hr). Fruit in both treatments, in air and 10% O2, ripened on day 4 to 5.

Respiration and ethylene production of fruit stored under reduced O2 at 2, 5, and 7.5% remained at a constant rate. Ripening of fruit was inhibited under such conditions.

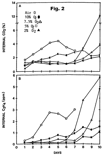
Graph of internal CO2 and ethylene in stored durian.

Fig. 2 illustrates the corresponding internal CO2 and ethylene levels of the same fruit used in Fig.l. Ripening of fruit in air caused accumulation of the internal CO2 and ethylene. The magnitude of such an increase was lower in fruit stored in 10% due to lower respiration and ethylene production than the control. Fruit held under reduced O2 at 2, 5, and 7. 5% showed little changes in the internal CO2 and ethylene concentration.

Upon introduction of fresh air to the fruit, there was a burst of increase in the concentration of CO2 and ethylene inside the fruit. Fruit which had previously been sorted for 1 week at 5 and 7.5% ripened uniformly. The aril was slightly firmer and less creamier in texture than the control fruit at its eating ripe stage. Quality attributes such as texture, sweetness, flavour, and odour were acceptable. Fruit previously stored under 2% O2 failed to ripen upon introduction of fresh air for four more days. There was also profound fungal growth on the fruit surface.

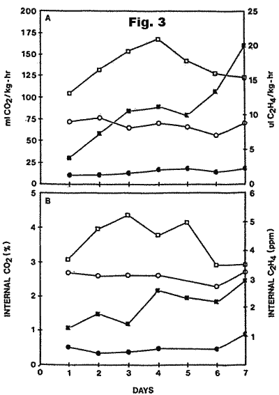
Effects of reduced O2 at 5% on respiration and ethylene production of a single representative fruit of 95% maturity in comparison with fruit in air were illustrated in Fig.3. In general, fruit of 95% maturity had a higher initial rate of respiration and climacteric peak than fruit of 85% maturity. Fruit in air showed a respiratory climacteric pattern with a concomitant increase in ethylene production. Fruit in 5% O2 failed to indicate such a rise. Measurement of internal CO2 and ethylene levels indicated a similar rise in O2 and ethylene for fruit in air and lack of such a rise for fruit in 5% O2. Fruit in air and 5% O2 were both ripe with distinct durian aroma on day 2.

spacer Graphs of respiration, CO2 and ethylene in stored durian.

CONCLUSION
O2 level at 10% caused a significant reduction in respiration and ethylene production of durian. Rate of respiration was halved and ethylene production, one-third of the control. The magnitude of such a reduction did not delay or prevent the onset of fruit ripening. Lowering the O2atmosphere to 5 to 7.5% inhibited fruit ripening. Under such conditions, respiration and ethylene production remained at a pre-climacteric low level.

Upon removal of the fruit to air, there was a burst of increase in respiratory activities. Quality attributes of such a ripe fruit were slightly affected but remained acceptable. Lowering the O21evel to 2% was injurious to the fruit. The fruit failed to ripen normally upon removal to air.

O2 atmosphere at 5% did not inhibit or prevent ripening of durian in which maturity was well-advanced at harvest. However, such a fruit ripened under reduced O2 atmosphere did not undergo a characteristic climacteric rise in respiration. There was also no apparent increase in autocatalytic ethylene production. In such a fruit, ripening presumably had initiated before harvest. The high level of ethylene accumulated inside the fruit at harvest was sufficient to carry on the ripening processes in durian.

LITERATURE CITED
1. Brecht, P.O. 1980. Use of controlled atmospheres to retard deterioration of produce. Food Technology. 34(3): 45-50.

2. Kader, A.A. 1980. Prevention of ripening in fruits by use of controlled atmosphere. Food Technology. 34(3): 51-54.

spacer

3. Kader, A.A. and L.L. Morris. 1977. Relative tolerance of fruits and vegetables to elevated CO2 and reduced O2 levels. P.260-265. In: D. H. (Dewey (ed. ) Controlled atmospheres for the storage and transport of horticultural crops. Dep.Hort.Michigan state Univ. East Lansing, Michigan.

4. Martin, F.W. 1980. Durian and Mangosteen, P.408-414. In: S. Nagy and P.E. Shaw (eds.) Tropical and subtropical fruits. AVI Publ.Inc. Westport. Conn.

5. Spalding, D.H. 1974. Current status of controlled atmosphere storage of four tropical fruits. Proceedings of the Florida State Horticultural Society. Vol. 87, Miami.

6. Wade, N.L. 1980. Atmosphere composition as an aid to refrigeration. CSIRO Food Research Quarterly. 40 (3/4): 84-90.

 Fig.3
A. Respiration (empty) and ethylene production (filled marker) of durians stored at 22°C in air (box) and 5% O2(circle).
B. The corresponding internal CO2 (empty) and ethylene (filled marker) levels of durians stored at 22°C in air (box) and 5% O2 (circle). Durian maturity at harvest were 95%. Results were obtained from one representative fruit.
Sing Ching Tongdee and Anawat Suwanagul
POSTHARVEST TECHNOLOGY LABORATORY
THAILAND INSTITUTE SCIENTIFIC AND TECHNOLOGICAL RESEARCH

DATE: July 1989

* * * * * * * * * * * * *